******中国·2138cn太阳集团(SunCity·VIP认证)官方网站-Official website

通知公告

通知公告

当前您的位置: 学院首页 - 通知公告 - 正文

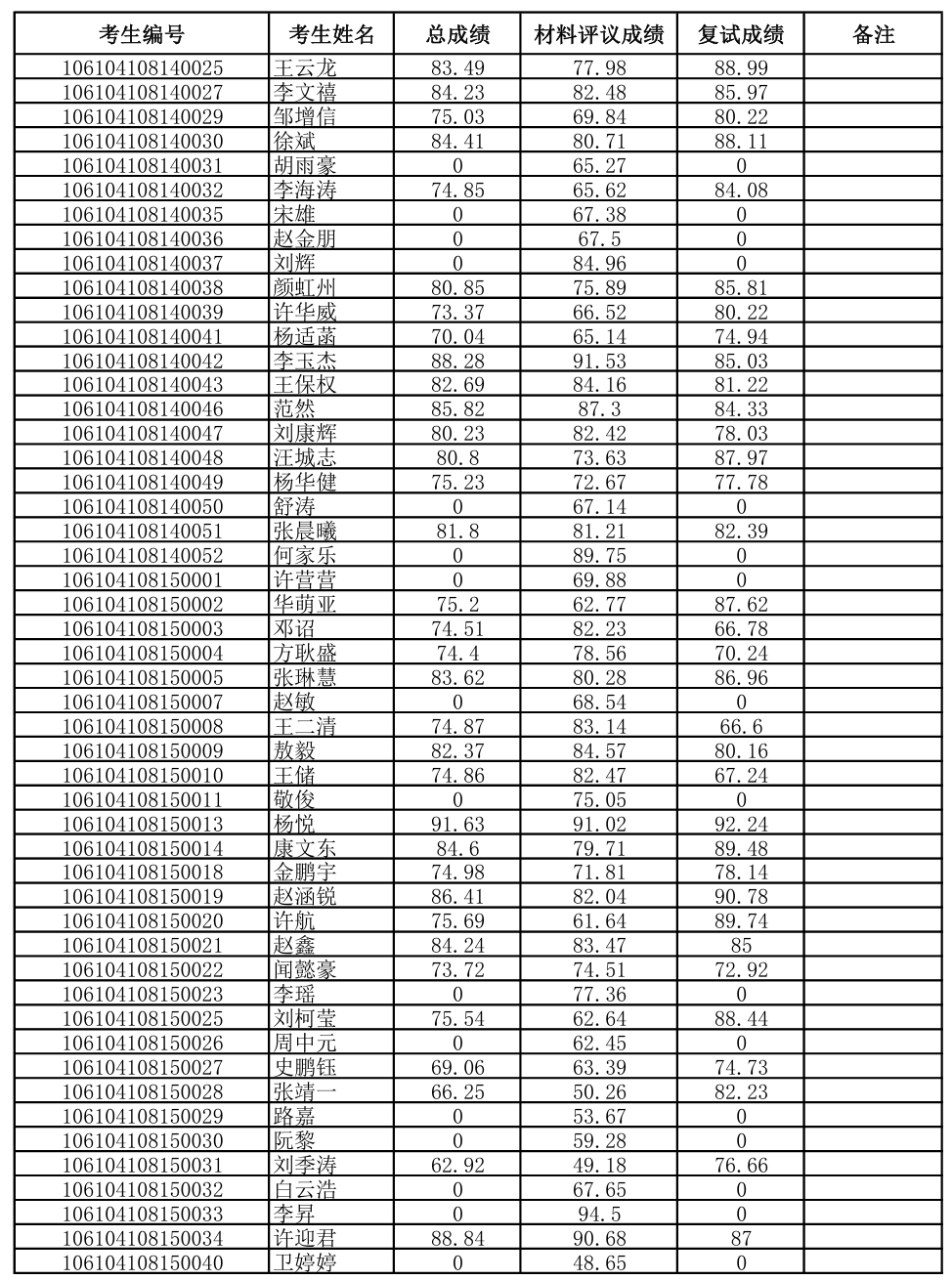
2138CC太阳集团/山区河流保护与治理全国重点实验室2024年博士研究生招生复试成绩公示

2024-04-26

image.pngimage.png

image.png