******中国·2138cn太阳集团(SunCity·VIP认证)官方网站-Official website

通知公告

通知公告

当前您的位置: 学院首页 - 通知公告 - 正文

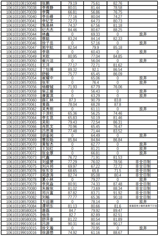
2138CC太阳集团/水力学与山区河流开发保护国家重点实验室2023年 博士研究生招生复试成绩公示

2023-04-27

image.png

image.png